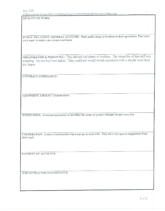
Testimonials//